中咨視界
陳佳鵬 | 基于煤基替代燃料損益分析視角的能源安全研究
| |||||
| |||||
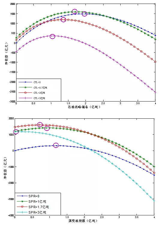
隨著我國經濟的快速增長,日益增長的石油對外依存度成為能源安全的突出問題。目前國際油價波動起伏較大,各國應對能源安全常用的手段是建立石油戰略儲備,尋找合適的交通替代能源(替代燃料)成為保障能源安全的研究熱點。 本文從能源安全入手,分析其內涵,并歸納提出能源安全體系和框架圖,在此基礎上建立能源安全損益分析模型,并結合煤基液體燃料案例,分別研究了石油戰略儲備的最優規模和替代燃料的最優規模,以及兩者在保障能源安全中的相互作用關系。 一、能源安全內涵分析 為了解替代燃料在保障能源安全中的位置和作用,首先需要對能源安全的內涵有一個充分的理解。 (一)能源安全綜述 能源安全源于1973年的能源危機,主要聚焦于如何處理產油國的石油供應中斷。隨著時間的推移,各國對能源安全的理解存在一定差異。對于我國而言,能源供應不要成為經濟快速發展的瓶頸則是目前主要的能源安全關注點。此外,能源安全的關注點還將包括如何消除未來任何可能的由于中東等地局勢不穩定等原因引發的石油供應中斷問題。 劍橋能源咨詢公司(CERA)主席丹尼爾·耶金(Daniel Yergin)在2007年3月22日美國眾議院外交關系委員會“石油依賴在外交和國防中的意義”聽證會上提到[1]:如今,能源安全的定義需要擴展至對整個能源供應鏈和基礎設施的保護,能源的相互依賴以及能源貿易規模的增長要求生產國和消費國之間不斷合作,以確保整個供應鏈的安全。他認為對中國和印度來說,能源安全首先是保證它們有足夠的能源來支持經濟發展,并防止可能導致社會和政治動亂的能源不足的情況日益惡化。耶金還提到生物技術在能源方面的運用可能對能源安全產生重要影響。 Kenneth Lieberthal認為,中國能源不安全的根源在于中國強勁的經濟增長刺激了能源需求的猛增,并遠超國內能源供應和基礎設施的承受能力[2],而且中國將嚴重依賴波斯灣地區供應石油需求的較大份額;相應地,越來越多的進口份額需要穿行海路要道。他認為中國的能源政策是重商主義的,在不斷爭取海外份額油的同時,仍需要依靠市場的力量來獲取大部分的進口石油。他還指出:作為世界上數一數二的能源消費和進口國,美國和中國擁有實力保障世界的石油供應和價格穩定,應制定一個有效的能源發展戰略。 Dennis Blair和Kenneth Lieberthal在《一帆風順——海路安全的神話與現實》一文中提出[3]:現今的國際石油航運并沒有想象中那么脆弱,對其造成嚴重和持續中斷的機會微乎其微。他們指出石油海運中最具潛在危險的有三個地方:霍爾木茲海峽、馬六甲海峽和新加坡海峽,但只有一支強大如美國的海軍才有可能嚴重擾亂石油運輸,但美國正致力于保障公海的海運安全。歷史也表明,重大的海運中斷是非常罕見的。他們還指出:只要不發生全面戰爭,無論海盜、恐怖襲擊還是任何國家都無法阻止或封鎖海上通道。只有美國具備全面控制海上通道的能力,而中、俄、日、印在軍事裝備、后勤供應和操作經驗方面與美國具有二十年的差距,無法與美國抗衡。只有在臺海出現戰事時,美國才可能會以武力對中國采取封鎖行動,攔截中國的石油和重要物資運輸。 游弋在波斯灣的美軍航母戰斗群 伊朗革命衛隊在進行戰斗演習 Michael C. Lynch認為能源安全只是短期中斷問題,不可能出現長期中斷,問題的本質是經濟和價格問題而不是供應短缺問題[4]。資源缺乏的國家對國際能源市場的過分擔憂,是造成對能源安全誤解的一個根本原因。一個國家只要愿意付出足夠高昂的價格,總能確保能源的供給,但高昂的石油價格會引起經濟的損失,損失大小完全取決于石油進口的規模。石油危機對全球產生影響,不可能有選擇地只針對個別國家。對抗石油中斷的最有效手段是戰略儲備,而替代燃料對能源安全的作用有限,發展替代燃料必須作嚴格的收益損失分析。 徐承恩等認為石油安全實質上是市場需求安全,其核心問題是穩定的供應、合理的價格[5]。歷史經驗表明石油供應中斷往往引起油價上漲,但油價上漲并非都與石油供應中斷有關。對于正常的油價波動,合理的市場機制就可以調節,不屬于石油安全問題;進口石油的數量以及占消費量比例的高低并不是衡量石油安全程度的決定性因素,關鍵是進口供應的穩定性和進口價格的合理性。他們還提出了保障我國石油安全的多種思路:開源節流、全球化合作、石油進口多元化、市場化運作、發展替代能源、加強科技進步、建立石油儲備提高應變能力。 綜上所述,能源安全的內涵在過去幾十年已經有了很大的改變:能源安全不僅僅是應對產油國的供應中斷,還應擴展至整個供應鏈的保護,但需要轉變對石油運輸安全過分擔憂的觀念。實際上,國際石油航運是相對安全的,不可能出現長期中斷。能源安全只是短期中斷的問題,其本質是經濟和價格問題。替代燃料需要從保障能源安全的角度作嚴格的經濟性分析,定量分析替代燃料發展規律。 (二)能源安全體系 1.能源安全體系框架圖 基于對上述能源安全文獻的理解,我國應梳理新的能源安全觀。圖1展示了新的國家能源安全體系框架圖,圖中箭頭表示來源項決定和影響指向項。 圖1 能源安全體系框架 能源安全包括資源安全和價格安全兩部分。 資源安全的要素包括資源擁有量、對資源擁有者的政治影響力、資源的軍事控制能力和資源運輸能力。資源擁有量本質上取決于國家的經濟實力,尤其是對國外資源的擁有。對資源擁有者的政治影響力是指地緣政治能力,背后的本質支撐是經濟實力和軍事能力,外交是實施手段,傳統友誼是優勢和法寶。資源的軍事控制能力是政治的延續和最后解決手段。資源運輸能力包括海上航線和輸油管線的控制,以及造船能力和運輸船隊的擁有。 影響價格安全的要素包括全球供需市場的供需平衡狀況以及國際石油壟斷組織(如歐佩克)對石油價格的操作能力。全球供需市場受到四方面因素的影響:資源安全性,戰略石油儲備量,能源效率,替代能源的發展數量。資源安全性是指資源儲備和供應能力(包括備用產能)。國際石油壟斷組織毫無疑問要追求其經濟利益最大化,但其控制市場價格的企圖和行為首先受到地緣政治的約束。此外還受到價格過高可能導致需求萎靡、其長期經濟利益受損的客觀約束。 2.石油戰略儲備和替代燃料在能源安全中的作用 在需求確定的條件下,全球供需市場受到影響的因素中,資源儲備和供應能力、戰略石油儲備量和能源效率是保證石油市場安全的傳統手段,其中石油戰略儲備是促進石油市場短期平衡的最直接和有效的手段,是現行對付短期石油中斷和價格飛升的最重要手段[4]。它不僅能延緩石油中斷的影響,也能替代中斷的供應量。 原油儲存庫 相對傳統手段而言,替代燃料是保證全球和國家石油安全的新手段和新事物。它的作用主要是降低本國石油消費強度,在石油危機來臨時可少受干擾,減輕高油價給國家經濟帶來的損失。由于替代燃料的投資大、成本高、發展周期長,因此其活動水平低,對世界石油市場只有長期和緩慢的作用效果[4]。 國家能源集團鄂爾多斯煤制油分公司廠區 圖1實際上也對石油戰略儲備、替代燃料和其他維護石油安全的措施的相互關系作了一定程度的表述。圖中右下角標注“圈點”的條目表示需要花費經濟成本的措施,石油戰略儲備和替代燃料是其中的兩種。顯然,有限的財力花在哪里是需要系統性思考和綜合權衡的,對于怎樣建立戰略儲備或發展替代燃料來說,存在利益權衡問題。對于如何從收益和成本平衡的角度確定各自適宜的發展規模,需要建立能源安全損益模型進行分析。 二、能源安全損益分析原理 美國橡樹嶺國家實驗室從保障石油供應安全角度對石油戰略儲備的最優規模進行過定量化的研究[6][7][8][9]。中國工程院也就石油安全和儲備戰略進行過研究,對我國石油儲備的規模進行過定性分析和未來規模預測[5]。目前國際上對于替代燃料在石油供應安全的作用大多為定性分析,缺乏定量計算分析。 本文參考了美國橡樹嶺國家實驗室定量研究的方法,把石油戰略儲備最優規模的建模方法,根據石油戰略儲備和替代燃料對于能源安全的不同作用機理,擴展到計算石油戰略儲備和替代燃料發展的最優規模。模型的原理在于分析通過這兩種手段保障能源安全過程中所損失的經濟成本和獲得的經濟收益,在損和益之間尋找一個平衡的優化結果。故本文將此模型稱為能源安全損益分析模型。 對于建立石油戰略儲備(SPR)或發展替代燃料(ALF),經濟成本主要包括基礎設施建設成本、運行維護成本和購買資源或燃料的相關成本。對于替代燃料來說,還應包括相關的CO2處理成本,這些成本都可以直接計算出來。建立戰略儲備或發展替代燃料能得到何種收益呢?答案并不顯而易見,因為這種收益只有在石油中斷的時候才能顯現出來[6][7],其原理如圖2所示。 圖2 SPR和ALF的收益計算原理示意 國際石油市場供給量一旦明顯低于其正常或預期的需求量,即發生石油中斷,將影響國際石油市場的供需平衡,造成油價的上漲,從而會造成本國石油進口額外成本的損失。另外,由于石油短缺和油價上漲將造成本國GDP的損失,主要包括三部分:(1)部門間調整,表現為人力和資本等生產資料通過市場在各生產部門間重新分配,如煉油廠工人下崗,自行車廠招工;(2)遲滯效應,表現為由于對未來市場持觀望態度而引起的投資和生產下降;(3)消費形式變化引起生產資料再分配,如新建節能生產線,停用老生產線。 建立石油戰略儲備或發展替代燃料,就是為了盡可能地避免這部分損失,而避免的損失就是它們的收益了。圖3描述了發展替代燃料的收益和代價,是否存在“最佳點”、以及如何尋找“最佳點”是替代燃料損益分析中的關鍵問題。本文擬結合煤基替代燃料案例,通過數學建模的方法進一步定量描述和實現“最佳點”。 圖3 替代燃料損益分析計算原理示意 三、煤基替代燃料案例分析 我國是一個多煤少油缺氣的國家,所以在發展替代燃料的過程中,應該優先考慮煤基替代燃料。本文選取煤直接制油為研究對象,對我國發展替代燃料進行情景分析,計算發展煤基替代燃料的成本和收益,并通過計算其凈收益,分析是否應該發展替代燃料,應該發展多大規模的替代燃料。本文選取2010—2030年的數據進行三個情景分析:石油戰略儲備案例分析、替代燃料案例分析、組合案例分析。 (一)數據輸入 表1 模型關鍵參數假設 (二)石油戰略儲備最優規模分析 我國SPR案例分析,重點計算建立SPR的凈收益,并分析是否應該建立SPR,建立多大規模的SPR。圖4展示了不同SPR規模下的損益情況。 圖4 不同SPR規模下的損益 從圖4可以看出:總支出與SPR的規模呈線性關系,而避免石油進口損失和避免GDP損失則與SPR規模呈一定的非線性關系。由此得出結論:到2030年,我國應該建立一定規模的SPR,并在1.9億噸時將有約1500億元的最大收益。 1.9億噸的規模,是總石油需求量7.4億噸的約1/4,這與有些國家的石油儲備戰略相似,即以國內三個月的石油需求量為標準建立石油戰略儲備[5]。 (三)煤基替代燃料最優規模分析 由于采用煤基替代燃料,將會產生額外的CO2排放,這部分CO2的處理成本,也應包括在替代燃料的成本中。 圖5展示了不同煤制油規模下的損益情況,為了特別展示由于煤基替代燃料產生的額外CO2的處理成本,圖中將CO2處理費用提煉出來單獨畫線。 圖5 不同煤變油規模下的損益 從圖5可以看出:煤變油的生產成本和避免的進口損失是影響最終凈收益的兩個重要因素。CO2處理費用也不容小視,但發展替代燃料對避免GDP損失的作用有限。凈收益曲線有一個最優點,即到2030年,我國應該發展規模為1.2億噸的煤制油,此時將獲得最大收益約為300億元。 (四)石油戰略儲備與煤基替代燃料同時發展最優規模分析 前文分別對單獨建立石油戰略儲備和發展煤基替代燃料進行了案例分析,作為應對能源安全的兩個不同手段,如果同時建立石油戰略儲備和發展煤基替代燃料,將會有多大的收益?它們各自的最佳規模又將是多少?它們相互之間將有何影響? 本文依舊選取2010—2030年的數據,對這些問題展開研究,計算結果如圖6所示,其中左圖為三維立體圖,右圖為對應的等高線圖。 圖6 不同石油戰略儲備和替代能源規模下的凈收益 從圖6可以看出,存在最佳的石油戰略儲備和替代能源規模,使我國在應對石油中斷時有最大的收益。計算結果表明在建立1.7億噸石油戰略儲備和發展0.7億噸替代燃料時,將有約1600億元的最大收益。從等高線圖可以看出,在最佳規模附近,其收益也較大,所以圖中中心圓圈內的點均可以認為是較優規模,即到2030年,我國建設1.5~2億噸石油戰略儲備,同時發展0.5~1億噸的替代能源,將有較大的收益。 與前面兩個案例的分析結果相比,作為應對能源安全的兩種不同手段,石油戰略儲備和替代燃料有一定的聯系,圖7展示了這種相互作用關系。 圖7 石油戰略儲備規模和煤變油規模的相互作用 從圖7可以得出以下幾點結論: 兩種手段有一定的補充作用,即多發展煤基替代燃料,就可以少建設石油戰略儲備規模,反之亦然; 兩種手段對于能源安全的效果不相同,相比而言,石油戰略儲備是保障能源安全的最有效的手段,總收益里面的絕大部分來自于石油戰略儲備,而煤基替代燃料只是一個補充的手段。 當石油戰略儲備建設到一定的規模(約3億噸)時,發展煤基替代燃料并不會產生額外的收益。 特別值得指出的是,本文只以煤直接制油為代表進行了煤基替代燃料的案例分析,且在進行分析時假設不再發展其他煤基替代燃料。但未來可能的煤基替代燃料還包括甲醇、二甲醚、烯烴等,如果考慮上述替代燃料的同時發展,只需將案例分析數據輸入中的煤基替代燃料成本、效率等,用同時發展的綜合數據取代,即可計算出各種煤基替代燃料共同發展時的最優規模。 (五)煤基替代燃料案例分析中關鍵參數的敏感性分析 近年國際石油價格波動較大,為使案例分析的結果更為可信,本文將依據現實的情況,對損益模型中的關鍵參數進行敏感性分析。在影響能源安全的各個因素中,GDP/油價彈性系數和油價是其中最重要的兩個參數,本節將對它們進行敏感性分析。 1.GDP/油價彈性系數的敏感性分析 石油價格的漲幅將對國民生產總值(GDP)產生一定的影響,這一關系體現在GDP/油價彈性系數上。Aweibuch[12]在2006年對各研究中GDP/油價彈性系數進行了綜述。從中可以看出,不同的作者用不同的模型算出來的結果差異非常大。 影響GDP/油價彈性系數主要有三個因素:石油進口依存度、單位GDP的油耗水平和油價水平。本文根據不同文獻的研究,對我國的GDP/油價彈性系數分別取-0.01、-0.02、-0.03進行敏感性分析,結果如圖8所示。 彈性系數=-0.01 彈性系數=-0.02 彈性系數=-0.03 圖8 GDP/油價彈性系數對能源安全收益的影響 彈性系數的大小,表明油價對我國經濟所引起的沖擊的大小。彈性系數的絕對值越大,表明我國經濟受油價影響就越大,反之亦然。從圖8可以看出,GDP/油價彈性系數對于石油戰略儲備最優規模影響較大,而對替代燃料規模的影響較小。彈性系數從-0.01變到-0.02和-0.03時,石油戰略儲備的最優規模由1.1億噸,變到1.7億噸和2.2億噸,而煤變油規模由0.5億噸,變到0.7億噸和0.9億噸。 結果顯示,隨著GDP/油價彈性系數絕對值的增加,我國需要建立的石油戰略儲備規模也將增加,發展更多的替代燃料,所獲得的保障能源安全的凈收益也將增大。 2.油價的敏感性分析 為了研究油價對替代燃料最優規模的影響,本文對油價的小幅變動對替代燃料規模的影響的敏感性分析。結果如圖9所示。需要說明的是,這里的油價并不表示當前值,而是表示對從現在到2030年油價的平均期望值。 油價=65美元/桶 油價=70美元/桶 油價=75美元/桶 圖9 油價對能源安全收益的影響 從圖9可以看出,油價小幅波動對于替代燃料最優規模影響巨大,而對石油戰略儲備規模的影響較小。結果顯示,當油價低于每桶65美元時,不應該發展替代燃料,而當油價大于75美元時,應該大力發展替代燃料。另外,隨著油價的增長,保障能源安全的凈收益也將增大。 從上面的結果可以看出,油價對于石油戰略儲備和替代燃料最優規模影響巨大。在不同的油價下,不一定存在最優規模,較多的情形是要么可以大力發展替代燃料,要么不必要發展替代燃料。一般來說,在油價偏高的情況下,應該大力發展替代燃料;反之,則不應該發展替代燃料。 四、結論 1.能源安全的本質是經濟和價格問題,而不是供應短缺問題,能源安全包括資源安全和價格安全。在很長的時間尺度內,能源安全主要是價格安全。 2.石油戰略儲備和替代燃料是保障能源安全的兩種不同手段,其收益主要來源于在石油供應發生中斷時,所避免的進口損失和GDP損失。在建立戰略儲備或發展替代燃料時,存在利益權衡的問題,需要系統性思考和綜合權衡利弊。 3.通過對能源安全的成本與收益建模分析表明,在保障能源安全的過程中,石油戰略儲備和煤基替代燃料均有一定的最優規模。在基準情景假設下,同時建立1.5~2億噸石油戰略儲備和0.5~1億噸替代燃料時,對于保障能源安全具有較大的收益。 4.建立石油戰略儲備和發展替代燃料對于保障能源安全有一定的補充作用,即多發展替代燃料,就可以少建設石油戰略儲備規模,反之亦然;兩種手段對于能源安全的效果不相同,相比而言,石油戰略儲備是保障能源安全的最有效的手段,總收益的絕大部分來自于石油戰略儲備,替代燃料只是一個補充手段。 5.在保障能源安全的過程中,GDP/油價彈性系數是影響石油戰略儲備的最主要的參數。 6.在進行替代燃料發展決策時,要充分考慮到未來油價的走勢,并做相應的損益分析。 參考文獻 [1]Daniel Yergin. The Fundamentals of Energy Security [EB/OL]. [2007-03-22]. http://foreignaffairs.house.gov/110/yer032207.htm. [2]Kenneth Lieberthal and Mikkal Herberg. China’s Search for Energy Security: Implications for U.S. Policy. NBR ANALYSIS, Volume 17, Number 1, April 2006. [3]Dennis Blair and Kenneth Lieberthal. Smooth Sailing — The Myths and Realities of Sea-Lane Security. Foreign Affairs, 2007: 1-6. [4]Michael C. Lynch. Nature of Energy Security. Breakthroughs, 1997, 4(1):4. [5]徐承恩, 劉克雨, 趙伏, 等. 石油安全和儲備戰略專題報告[R].中國工程院, 2004. [6]Paul Leiby and David Bowman. The Value of Expanded SPR Drawdown Capability. Oak Ridge National Laboratory. October 18, 2000. [7]Paul Leiby and David Bowman. The Value of Expanding the U.S. Strategic Petroleum Reserve. Oak Ridge National Laboratory. November 30, 2000. [8]David Greene, Donald W Jones and Paul Leiby. The outlook for US oil dependence. Energy Policy, Vol. 26, No. 1, pp. 55-69, 1998. [9]U.S. Department of Energy. Strategic Petroleum Reserve Size Study. Directed by the Department of Energy with Interagency Participation. February 1990. [10]魏一鳴,范英,焦建玲, 等.國際油價波動對中國經濟的影響預測[R]. 中國科學院預測研究中心,2006. [11]Y. M. Wei, G. Wu, Y. Fan, L.C. Liu. Empirical analysis of optimal strategic petroleum reserve in China, Energy Economics. 2008, 30(2), 290-302. [12]Shimon Awerbuch, Raphael Sauter. Exploiting the oil–GDP effect to support renewables deployment. Energy Policy. 34 (2006) 2805–2819. [13]王慶一.中國可持續能源項目---2007年能源數據[R].2007. [14]李政,張希良,麻林巍等.中國替代能源發展戰略研究[R].清華大學, 2007. [15]Yuzhuo Zhang. China’s Development Strategy for Coal-to-Liquids Industry. IEA Coal Industry Advisory Board Workshop. Paris, 2006. 注:原文載于《中國煤炭》2017年第3期,本次發表做了較大改動。 | |||||
相關鏈接
- 齊景麗 申傳龍 王凡 霍正元 |...2020-07-21
- 劉富榮 | 中國應在中美科技競爭...2020-07-17
- 許豫東 孔繁榮 杜貞利 | 我國...2020-07-15
- 鄒昊飛 譚瀟 | 新時期推動境外...2020-07-13
- 張宗玟 伍勇旭 | 應對“十四五...2020-07-08













